Kamis, 28 Januari 2021

QUIZ MATRIKS



 

1.Determinan Matriks

Pada Aljabar, determinan matriks dapat diartikan sebagai nilai yang mewakili sebuah matriks bujur sangkar. Simbol nilai determinan matriks A biasanya dinyatakan sebagai det(A) atau | A |. Cara menghitung determinan matriks tergantung ukuran matriks bujur sangkar tersebut. Cara menghitung nilai determinan dengan ordo 3 akan berbeda dengan cara menghitung matriks bujur sangkar dengan ordo 2. Untuk lebih jelasnya, perhatikan cara menghitung determinan di bawah.

Determinan Matriks Ordo 2 x 2

Seperti yang sobat idschool sudah ketahui, matriks ordo 2 dinyatakan dalam bentuk matriks dengan jumlah kolom dan baris sama dengan dua. Nilai determinan A disimbolkan dengan | A |, cara menghitung nilai determinan A dapat dilihat seperti pada cara di bawah.

determinan matriks A

 
Soal: Tentukan nilai determinan matriks berikut.

  \[ A \; = \; \begin{bmatrix} 3 & 1 \\ 2 & 5 \end{bmatrix} \]

Pembahasan:

determinan matriks A:
| A | = ad – bc
= 3 × 5 – 1 × 2
= 15 – 2
= 13

 Determinan Matriks Ordo 3 x 3

Matriks Ordo 3 adalah matriks persegi dengan banyaknya kolom dan baris sama dengan tiga. Misalnya pada matriks A, elemen-elemen pada baris pertama adalah a b c, baris kedua adalah d e f, dan baris ketiga adalah g h i. Cara menghitung determinan pada matriks dengan ordo tiga biasa disebut dengan Aturan Sarrus seperti terlihat pada gambar di bawah.

determinan matriks

 
Contoh perhitungan determinan pada matriks ordo 3:

  \[ \textrm{A} \; = \; \begin{bmatrix} 1 & 2 & 1 \\ 3 & 3 & 1 \\ 2 & 1 & 2 \end{bmatrix} \]

Maka determinan matriks A adalah,

  \[ \left| \textrm{A} \right| \; = \; \left| \begin{matrix} 1 & 2 & 1 \\ 3 & 3 & 1 \\ 2 & 1 & 2 \end{matrix} \right| \]

  \[ \left| \textrm{A} \right| \; = 1\cdot 3 \cdot 2 + 2 \cdot 1 \cdot 2 + 1 \cdot 3 \cdot 1 - 2 \cdot 3 \cdot 1 - 1 \cdot 1 \cdot 1 - 2 \cdot 3 \cdot 2 \]

\[ \left| \textrm{A} \right| \; = 6 + 4 + 3 - 6 - 1 - 12 \]

  \[ \left| \textrm{A} \right| \; = -6 \]

Selanjutnya, pembahasan kita akan berlanjut ke invers matriks.

Baca Juga: Matriks untuk Menyelesaikan Sistem Persamaan Linear

Invers Matriks

Simbol matriks dinyatakan dengan tanda pangkat negatif 1 (–1). Invers matriks dapat diartikan sebagai kebalikan dari suatu matriks tertentu. Jika suatu matriks bujur sangkar A dikalikan terhadap inversnya yaitu matriks bujur sangkar A–1 maka menghasilkan matriks I (matriks identitas pada operasi perkalian matriks). Cara mencari invers matriks untuk ordo 2 x 2 dan invers matriks ordo 3 x 3 diberikan seperti berikut.

Invers Matriks Ordo 2 x 2

Invers dari suatu matriks A dengan ukuran 2 x 2, elemen pada baris pertama adalah a, b dan elemen pada baris kedua adalah c, d dinyatakan dalam rumus di bawah.

Invers Matriks

Contoh menentukan invers matriks A dapat dilihat seperti langkah-langkah berikut.

Diketahui elemen-elemen pada matriks A seperti berikut.

  \[ A \; = \; \begin{bmatrix} 3 & 2 \\ 1 & 4 \end{bmatrix} \]

Tentukan invers dari matrik A!

Baca Juga: Pengertian dan Jenis-jenis Matriks

Invers Matriks Ordo 3 x 3

Cara menentukan invers matriks ordo 3 x 3 lebih rumit dari cara menentukan invers matriks 2 x 2. Sebelum menentukan invers matriks ordo 3 x 3, perlu dipahami terlebih dahulu mengenai matriks minor, kofaktor, dan adjoin. Simak penjelasannya pada uraian di bawah.

  1. Matriks Minor

    Diketahui sebuah matriks A dengan ordo 3 seperti terlihat di bawah.

    Invers Matriks Ordo 3 x 3

    Matriks minor Mij adalah matriks yang diperoleh dengan cara menghilangkan baris ke-i dan kolom ke-j dari matriks A sehingga diperoleh matriks minor berordo 2 seperti persamaan di bawah.

    Matriks Minor Mij

    Matriks-matriks minor di atas digunakan untuk mendapatkan matriks kofaktor A.

  1. Kofaktor

    Kofaktor baris ke-i dan kolom ke-j disimbolkan dengan Cij dapat ditentukan dengan rumus seperti terlihat di bawah.

    Matriks Kofaktor
    Kofaktor di atas akan digunakan untuk menentukan adjoin matriks yang akan dicari nilai inversnya.
  1. Adjoin

    Secara umum, sebuah matriks memiliki matriks adjoin seperti ditunjukkan seperti pada matriks di bawah.

    Matriks Adjoin A

    Keterangan: Cij adalah kofaktor baris ke-i dan kolom ke-j.

    Sehingga, adjoin dari matriks A dinyatakan seperti terlihat pada persamaan di bawah.

  \[ Adj(A) \; = \; \; \begin{bmatrix} C_{11} & C_{21} & C_{13} \\ C_{21} & C_{22} & C_{23} \\ C_{31} & C_{32} & C_{33} \end{bmatrix} \]

  1. Cara Menentukan Invers Matriks Ordo 3 x 3

    Bagian terakhir, bagian ini merupakan akhir dari proses mencari invers matriks dengan orde 3 atau lebih. Matriks minor, kofaktor, dan adjoin yang telah kita bahas di atas berguna untuk menentukan nilai invers dari suatu matriks dengan ordo matriks di atas 3 atau lebih.

    Secara umum, cara menentukan invers matriks dapat diperoleh melalui persamaan: A–1 = 1/det(A) · Adj(A)

Agar lebih jelas, akan diberikan contoh soal cara mencari invers matriks berodo 3. Simak langkah-langkah yang diberikan di bawah.

Contoh soal menentukan invers matriks berordo 3 x 3

Tentukan invers matriks B yang diberikan pada persamaan di bawah.

  \[ \textrm{B} \; = \; \begin{bmatrix} 1 & 2 & 1 \\ 3 & 3 & 1 \\ 2 & 1 & 2 \end{bmatrix} \]

Pembahasan:

Menghitung nilai determinan B:

  \[ \left| \textrm{B} \right| \; = \; \left| \begin{matrix} 1 & 2 & 1 \\ 3 & 3 & 1 \\ 2 & 1 & 2 \end{matrix} \right| \]

  \[ \left| \textrm{B} \right| \; = \; 1 \cdot 3 \cdot 2 + 2 \cdot 1 \cdot 2 + 1 \cdot 3 \cdot 1 - 2 \cdot 3 \cdot 1 - 1 \cdot 1 \cdot 1 - 2 \cdot 3 \cdot 2 \]

  \[ \left| \textrm{B} \right| \; = \; 6 + 4 + 3 - 6 - 1 - 12 = - 6 \]

Menentukan Kofaktor:

Berikut ini adalah hasil perhitungan nilai-nilai kofaktor untuk matriks B. Silahkan lihat kembali bagaimana cara mendapatkan nilai kofaktor pada rumus yang telah dibahas di atas jika belum hafal rumusnya.

Matriks Kofaktor

Untuk menentukan invers B, kita membutuhkan matriks adjoin B. Sehingga, kita perlu menentukan matriks adjoin B terlebih dahulu.

 
Menentukan Adjoin B:

Adjoin dari matriks B, sesuai dengan persamaan di atas akan diperoleh hasil seperti berikut.

Matriks Adjoin B

 
Menentukan Invers Matriks B:

Diperoleh invers matriks B seperti hasil berikut.

Invers Matriks B

Sifat-Sifat Matriks

Tidak semua matriks memiliki invers. Matriks yang memiliki invers dinamakan matriks nonsingular atau matriks invertible. Sedangkan matriks yang tidak memiliki invers dinamakan matriks singular. Kriteria matriks yang memiliki invers dapat dilihat pada gambar di bawah.

invers matriks

2.Sistem Persamaan Linear Eleminasi Gauss / Eleminasi Gauss Jordan

Menyelesaikan SPL Dengan Eleminasi Gauss dan Gauss Jordan

Menyelesaikan SPL Dengan Eleminasi Gauss dan Gauss JordanPada bagian ini akan diberikan  suatu prosedur yang sistematik untuk memecahkan sistem persamaan linear yang didasarkan pada gagasan untuk mereduksi matriks yang diperbesar menjadi bentuk yang cukup sederhana, sehingga sistem persamaan tersebut dapat kita pecahkan dengan memeriksa sistem tersebut. Matrik yang cukup sederhana yang dimaksud di sini adalah matriks eselon baris dan matrik eselon baris tereduksi.  Eleminasi gauss  dapat digunakan untuk memperoleh matriks eselon baris, sedangkan eliminasi gauss-jordan untuk mendapatkan matriks eselon baris tereduksi :
Sifat sifat yang dimiliki matriks eselon baris adalah :
  1. Jika baris tidak seluruhnya dari nol,  maka bilangan tak nol pertama baris tersebut adalah 1. (disebut 1 utama).
  2. Jika terdapat baris yang seluruhnya terdiri dari nol, maka semua baris seperti itu dikelompokan bersama-sama di bawah matriks.
  3. Dalam sebarang dua baris yang berurutan yang seluruhnya tidak terdiri dari nol  maka 1 utama dalam baris yang lebih rendah terdapat lebih jauh ke kanan dari 1 utama dalam baris yang lebih tinggiSifat sifat yang dimiliki matriks eselon baris terreduksi ialah sifat sifat 1, 2 ,dan 3 serta sifat sifat berikut.
  4. Masing-masing kolom yang mengandung 1 utama mempunyai nol di tempat lain.
Contoh : tentukan pemecahan SPL :
            X  +  y  + 2z = 9
            2x + 4y – 3z = 1
            3x + 6y – 5z = 0
Dengan cara  :
a.       Eliminasi gauss
b.      Eleminasi gauss Jordan
Jawab :

Matriks ekuivalen dengan  SPL  di atas adalah :
Bentuk matrik yang diperbesar dari SPL tersebut adalah :
A. Eleminasi Gauss
Bentuk matriks eselon baris (yang ditulis terakhir) kita ubah kembali dalam system persamaan linear menjadi :
        x  +  y  + 2z = 9
        y  –  7/2 z    = -17/2
        z  = 3
dengan cara subtitusi balik kita peroleh x dan y :
untuk z = 3
maka : y – 7/2 z = -17/2
                              y = -17/2 + 7/2 z
                              y = - 17/2 + 21 /2
                              y = 4/2
                              y = 2
untuk y =2 dan z =3  maka : x + y  + 2 z  = 9
                                          x = 9 – y – 2z
                                          x = 9 – 2 – 6
                                          x = 1
jadi pemecahan untuk SPL  di atas adalah x = 1, y = 2 , dan z , 3

B. Eleminasi Gauss-Jordan
Untuk mencari matriks eselon baris terreduksi maka setelah kita memperoleh matriks eselon bariss diperlukan langkah tambahan berikut:
Matrik ini berbentuk matriks eselon baris terreduksi yang dapat  dituliskan kembali ke dalam bentuk SPL  sebagai berikut :
X = 1 ;  x = 2 ; x3 = 3
Jadi pemecahan untuk SPL tersebut adalah : X = 1 ;  x = 2 ; x3 = 3







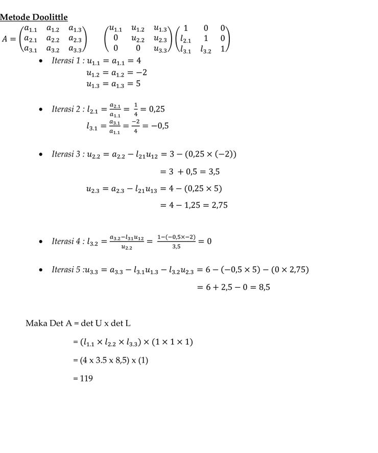
3.Sistem Persamaan Linear Dekomposisi Matriks Metode Crout / Metode Doolittle

Updated: Oct 17, 2018

Metode Dekomposisi merupakan metode pencarian determinan matriks dengan membagi matriks menjadi dua matriks segitiga, segitiga atas dan bawah. Mengikuti beberapa rumus dan aturan dimana secara singkat Metode Crout merupakan kebalikan dari Metode Doolittle begitu juga sebaliknya.










Tidak ada komentar:

Posting Komentar

QUIZ MATRIKS

  1.Determinan Matriks Pada Aljabar, determinan matriks dapat diartikan sebagai nilai yang mewakili sebuah matriks bujur sangkar. Simbol nil...